数学に「センス」は必要?──本当に必要なのは正しい訓練

「数学はセンスがないとできない」と言われることがありますが、実際には正しい方法で訓練すれば、誰でも着実に力を伸ばすことができます。私たちが指導の中で大切にしているのは、次の3つのステップです。

ステップ①:問題文の日本語を正確に理解する

「何を問われているのか」「何を答えなければならないのか」を正確に読み取る力が必要です。

国語力とも関係しますが、数学特有の言い回しに慣れることが重要です。

ここが曖昧なままでは、計算が得意でも得点にはつながりません。

ステップ②:正解までの道筋をひらめく

問題の構造を見抜き、どう解けばよいかを思いつく力が問われます。

感性やイメージ力が必要とされ、「センス」と誤解されやすい領域です。

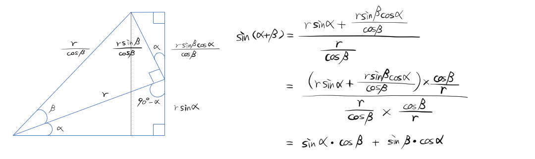
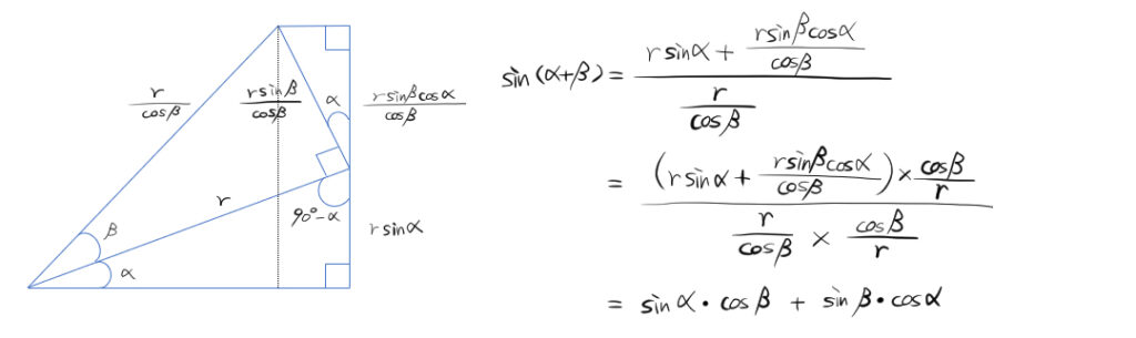
実際には、類題を数多く経験することで「ひらめきの型」が自然と身につきます。

ただし、自力での習得が難しく、つまずく生徒さんが多いのも事実です。

ステップ③:機械的に間違わず計算する

計算ミスを防ぎ、基本ルール通りに式を展開する力です。

焦りや不注意が出やすい部分ですが、訓練次第で確実に上達します。

3つの力はすべて「訓練」で伸ばせる

多くの問題に取り組むことで、数学は確実に上達します。

特に②の「ひらめき」は、適切な導きがないと自力で身につけるのが難しく、挫折の原因になりやすいです。